همه چیز درباره آنتی‌اسکالانت

۱۴۰۴/۱۲/۱
همه چیز درباره آنتی‌اسکالانت

آنتی‌اسکالانت یکی از مهم‌ترین مواد شیمیایی مورد استفاده در سیستم‌های تصفیه آب صنعتی و اسمز معکوس (RO) است که با جلوگیری از تشکیل رسوبات معدنی روی سطح ممبران‌ها، نقش مؤثری در افزایش طول عمر و بهبود عملکرد سیستم دارد. استفاده از آنتی‌اسکالانت مناسب باعث کاهش دفعات شستشوی شیمیایی (CIP)، جلوگیری از افت فشار و حفظ راندمان تولید آب می‌شود.

 همه چیز درباره آنتی‌اسکالانت، مواد ضد رسوب ممبران (RO)

آنتی‌اسکالانت یکی از مهم‌ترین مواد شیمیایی مورد استفاده در سیستم‌های تصفیه آب صنعتی و اسمز معکوس (RO) است که با جلوگیری از تشکیل رسوبات معدنی روی سطح ممبران‌ها، نقش مؤثری در افزایش طول عمر و بهبود عملکرد سیستم دارد. استفاده از آنتی‌اسکالانت مناسب باعث کاهش دفعات شستشوی شیمیایی (CIP)، جلوگیری از افت فشار و حفظ راندمان تولید آب می‌شود.
آنتی اسکالانت ها با یک یا چندین مکانیسم موثر از تشکیل رسوبات بر سطح ممبران های RO جلوگیری می کنند. این مواد به عنوان پیش تصفیه به آب های تصفیه نشده قبل از ورود به ممبران اسمز معکوس تزریق می شوند تا از تشکیل رسوبات بر سطح ممبران جلوگیری کنند. استفاده از آنتی اسکالانت ها به دلیل جلوگیری از ایجاد رسوب و گرفتگی ممبران باعث می شود که طول عمر ممبرین و بازه نیاز به شستشوی شیمیایی افزایش و حصول میزان خروجی فرایند اسمز معکوس در زمان کوتاه تری انجام شود.
استفاده از آنتی اسکالانت ها یکی از ساده ترین و ارزان قیمت ترین روش ها برای از بین بردن رسوبات موجود در سطح ممبران های اسمز معکوس می باشد. شرکت های متنوعی در دنیا آنتی اسکالانت تولید می کنند که از معروف ترین و معتبرترین آن ها در بازار ایران می توان به جنسیس (Genesys)، آویستا (Avista)، دکوئست (Dequest)، فلوکن (Flocon)، چلکو (Celko)، نالکو (Nalco)، روپیور (ROPUR) و هیدروتریت (Hydrotreat) اشاره کرد. فروشگاه اینترنتی آبکالا با سابقه 10 سال فعالیت درخشان، توانسته مناسب ترین و معتبرترین آنتی اسکالانت های وارداتی و داخلی را با ارزان ترین قیمت به مشتریان خود ارائه کند. در ادامه هر آن چه که برای آشنایی با آنتی اسکالانت نیاز است، به صورت کامل توضیح داده شده است.
امروزه اسمز معکوس یکی از پرکاربردترین فرایندها جهت نمک زدایی آب و تولید آب شیرین است. رسوب گذاری ترکیبات موجود در آب یکی از مشکلات اجتناب ناپذیر هنگام استفاده از ممبران های اسمز معکوس می باشد. رسوب های ایجاد شده در سطح ممبران را به 4 دسته رسوبات ذرات، رسوبات آلی، رسوبات غیر آلی و رسوبات بیولوژیکی می توان تقسیم بندی کرد. با توجه به مقادیر زیاد ذرات معلق محلول (TDS)، رسوبات غیرآلی یا همان معدنی پرچالش ترین و فراوان ترین نوع رسوبات هستند. مرسوم ترین رسوبات معدنی شامل رسوبات بر پایه یون های فلزی (metal ion-based scales) و رسوبات بر پایه سیلیس (silica-based scales) هستند. روش های متعددی نظیر پیش تصفیه آب ورودی، توسعه ممبران های جدید، بهینه سازی فرایند عملکردی و افزودن آنتی اسکالانت ها برای کاهش میزان رسوب گذاری بر ممبران های اسمز معکوس وجود دارد. هر کدام از روش های ذکر شده مزایا و معایب خاص خود را دارند. افزودن آنتی اسکالانت به دلیل راندمان بالا، هزینه پایین و عملکرد ساده یکی از پرکاربردترین و مرسوم ترین روش ها جهت جلوگیری از ایجاد رسوب بر سطح ممبران است، خصوصا در زمان هایی که سیستم RO برای تولید آب بازیابی شده (Recovery Water) با مقادیر زیاد تنظیم شده باشد که در این حالت پتانسیل رسوب گذاری افزایش می یابد.

چگونه در ممبران های اسمز معکوس رسوب ایجاد می شود؟

همان طور که میدانید از سیستم های اسمز معکوس جهت تصفیه آب و حذف تمامی املاح و نمک های موجود در آن استفاده می شود؛ در این سیستم ها یک ممبرین فیلتراسیون عمود بر جهت جریان به کار برده می شود، بدین ترتیب آبی که تصفیه نشده به عنوان آب نمک تغلیظ شده در سیستم باقی می ماند. هنگامی که آب به قسمت تصفیه شده تراوش می کند، بخش تصفیه نشده آب همراه با تمامی نمک ها، مواد آلی و ذرات کلوییدی که توسط ممبران دفع شده اند، در سمت دیگر ممبران باقی می مانند. هرچه که میزان آب بازیابی شده یا تصفیه شده بیشتر باشد، آب دفع شده غلظت بیشتری خواهد داشت. هنگامی که نمک های محلول در آب نمک تغلیظ شده از میزان اشباع بیشتر شوند، شروع به ترسیب می کنند. به همین ترتیب، مواد آلی و ذرات کلوییدی نیز هرچه غلظتشان در طول سیستم ممبران بیشتر شود،  پتانسیل رسوب گذاریشان افزایش می یابد.

انواع رسوبات

رسوبات معدنی با توجه به ترکیبات شیمیایی به دو گروه رسوبات بر پایه یون های فلزی (metal ion-based scales) و رسوبات بر پایه سیلیس (silica-based scales) تقسیم بندی می شوند. رسوبات بر پایه یون های فلزی شامل کلسیم کربنات، منیزیم کربنات، کلسیم سولفات و باریم سولفات است که عمدتا از طریق کریستال شدن ایجاد می شوند؛ در حالی که رسوبات بر پایه سیلیس را می توان به رسوبات سیلیس و سلیکات های فلزی طبقه بندی کرد که از طریق پلیمریزاسیون سیلیس ایجاد می شوند.

ضرورت استفاده از آنتی اسکالانت ها

آب ورودی به ممبران های آب شیرین کن یا اسمز معکوس دارای املاح و نمک های گوناگون است، به تدریج این املاح بر سطح ممبران رسوب می کنند و کارایی و طول عمر ممبران را کاهش می دهند، بنابراین نیاز است که از موادی استفاده شود تا جلوی ایجاد رسوبات را بگیرند. استفاده از آنتی اسکالانت ها ضروری است زیرا در غیر این صورت مشکلات متعددی نظیر کاهش راندمان ممبران اسمز معکوس، افزایش TDS آب خروجی از ممبرین RO، کاهش دبی آب تصفیه شده و پارگی و از کار افتادگی ممبران در اثر تجمع رسوبات ایجاد خواهد شد که در نهایت سبب افزایش هزینه های بهره برداری و قیمت تمام شده آب تصفیه می گردد.

انواع آنتی اسکالانت ها

فرمول شیمیایی آنتی اسکالانت ها عمدتا به دو دسته آنتی اسکالانت های دارای فسفر و عاری از فسفر طبقه بندی می شود. در ادامه به توضیح هرکدام از آنها پرداخته می شود:

آنتی اسکالانت های فسفر دار (Phosphorus Antiscalant)

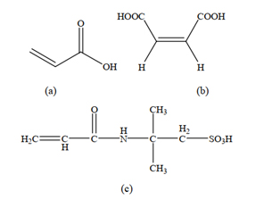
آنتی اسکالانت های فسفردار دارای فسفات و فسفونات هستند. فسفات ها ترکیباتی هستند که دارای پیوند P-O هستند و یون اورتوفسفات 3-(PO4) را به عنوان واحد پایه خود دارند. از نمونه های آن می توان به سدیم تری پلی فسفات و سدیم هگزامتافسفات (SHMP) اشاره کرد. فسفونات ها ترکیباتی هستند که دارای یک یا بیشتر گروه های C-PO(OH)2 می باشند. فسفونات ها به دلیل پیوند C-P نسبت به فسفات ها پایدارتر هستند. در شکل های زیر ساختار تعدادی از آنتی اسکالانت های فسفات و فسفونات نمایش داده شده است.

 

تعدادی از آنتی اسکالانت های رایج فسفات
(a) phosphate, (b) tripolyphosphate, (c) hexametaphosphate

 

تعدادی از آنتی اسکالانت های رایج فسفونات
(a) phosphonate, (b)1-hydroxyethylidene-1,1-diphosphonic acid, (c) amino trimethylene phosphonic acid (ATMP), (d) 2-phosphonobutane-1,2,4-tricarboxylic acid (PBTCA)

فسفات و فسفونات هر دو به علت توانایی خوب در کمپلکس سازی کاربردهای متنوعی دارند. اگرچه فسفات برای جلوگیری از ایجاد رسوب یا حل کردن رسوبات از طریق تشکیل کمپلکس های محلول پایدار با یون های فلزی استفاده می شود اما به راحتی به یون های اورتوفسفات هیدرولیز می شود که درنتیجه خود می تواند با یون های کلسیم رسوب کند و پتانسیل رسوب بیولوژیکی را افزایش دهد؛ این درحالی است که فسفونات به دلیل داشتن ساختار پایدار چنین مشکلی ندارد و درنتیجه کاربردهای گسترده تری دارد. 
آنتی اسکالانت های دارای فسفر به دلیل عملکرد خوب و هزینه پایین در بازار جهانی بسیار مورد توجه و پرکاربرد هستند اما با توجه به این که مقادیر زیادی فسفر در محیط زیست آزاد می کنند، منجر به تغذیه گرایی (Eutrophication) و افزایش فولینگ بیولوژیکی (Biofouling) شده اند، بدین ترتیب امروزه بنا به دلایل زیست محیطی استفاده از آنها اندکی محدود شده است.

آنتی اسکالانت های پلیمری سنتزی (Synthetic Polymeric Antiscalants)

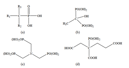
با توجه به مسائل زیست محیطی، نیاز به ساخت مواد رسوب گیر عاری از فسفر یا دارای مقادیر کم فسفر بسیار مورد توجه قرار گرفته است؛ لذا آنتی اسکالانت های پلیمری سنتزی تا حدودی جایگزین آنتی اسکالانت های فسفردار گردیده اند. برای جلوگیری از تشکیل رسوب های بر پایه یون فلزات، حضور گروه کربوکسیل در ساختار پلیمر بسیار موثر است. رسوب گیرهای پلی کربوکسیلیک اسید (Polycarbxylic Acid) که از پلیمریزاسیون منومرهای دارای گروه های کربوکسیلیک، سنتز می شوند؛ از نمونه این مواد هستند. لازم به ذکر است که رسوب گیرهایی که علاوه بر گروه های کربوکسیلیک، چندین گروه های عملکردی دیگر نظیر هیدروکسیل، سولفونیک، آمین و اتر نیز دارند، به علت اثر سینرژیک عملکرد بهتری نسبت به رسوب گیرهای دارای تنها یک گروه عاملی، دارند. حضور چندین گروه عاملی در ساختار آنتی اسکالانت های پلیمری باعث افزایش حلالیت آب و بهبود اثر پراکندگی پلیمرها می شود. تعدادی از منومرهای آنیونی مرسوم که در سنتز آنتی اسکیل ها مورد استفاده قرار می گیرند در شکل زیر نمایش داده شده اند.آنتی اسکالانت های پلیمری سنتزی دارای گروه های آنیونی می توانند به طور موثری با یون های فلزی کیلیت شوند و ذرات میکروکریستال را پراکنده کنند؛ بنابراین راندمان رسوب زدایی بالایی دارند.

 
تعدادی از منومرهای آنیونی مرسوم در سنتز آنتی اسکالانت های پلیمری
(a): Acrylic Acid (AA), (b): Maleic Acid (MA), (c):  2-acrylamido-2-methylpropane sulfonic acid

آنتی اسکالانت های پلیمری آنیونی تنها برای حذف رسوبات بر پایه یون های فلزی مناسب هستند. برای حذف رسوبات بر پایه سیلیس نیاز است که آنتی اسکالانت های کاتیونی استفاده شود زیرا با توجه به خواص ویژه رسوبات سیلیس، آنتی اسکیل های آنیونی تاثیری روی آنها ندارند. پلیمرهای دارای بار مثبت می توانند با منومرهای سیلیس دارای بار منفی یا سیلیس محلول واکنش دهند و فرایند پلیمریزاسیون سیلیس را ایجاد کنند و از تشکیل ذرات کلوییدی سیلیس جلوگیری کنند. آنتی اسکالانت های پلیمری کاتیونی متنوعی نظیر PAMAM، PEI، PALAM و PAMALAM وجود دارند که عملکردهای دفع رسوب متفاوتی را از خود نشان می دهند؛ این آنتی اسکالانت ها دارای گروه های اسیدی ضعیف (آمین های اولیه و ثانویه، +NH3- و +RNH2¬) و گروه های اسیدی قوی (آمونیوم کواترنری و +NR3-) هستند. علاوه بر آنتی اسکالانت های یونی، پلیمرهای محلول در آب غیر یونی مانند پلی اکریل آمید و پلی وینیل الکل  نیز بر کریستالیزاسیون CaCO3 تاثیر دارند.

نحوه عملکرد (مکانیسم) آنتی اسکالانت ها

با توجه به این که رسوبات مختلف، ویژگی های متفاوتی دارند، برای حذف آنها نیز از مکانیسم های مختلفی باید استفاده کرد. مکانیسم های حذف رسوبات بر پایه یون های فلزی عبارتند از کیلیت شدن (Chelation)، پراکندگی (Dispersion)، انحراف کریستالی (Crystal Distortion) و اثر آستانه (Threshold Effect). اطلاعاتی در رابطه با مکانیسم های ذکر شده در جدول زیر ارایه شده است.

مکانیسم دفع رسوب

توضیح

شکل

آنتی اسکالانت مرسوم

کیلیت شدن

(Chelation)

کیلیت شدن با یون های کاتیونی جهت افزایش حلالیت نمک هایی با حلالیت پایین

 

آنتی اسکالانت دارای فسفر آلی، آنتی اسکالانت پلیمری

پراکندگی

(Dispersion)

ایجاد بار الکتریکی در سطح کریستال های مواد معدنی و پراکنده نگه داشتن آن ها در محلول از طریق دافعه الکترواستاتیکی

 

آنتی اسکالانت های پلیمری

انحراف کریستالی

(Crystal Distortion)

دخالت در روند رشد نرمال کریستال ها به منظور ایجاد انحراف در فرایند کریستالیزه شدن

 

آنتی اسکالانت دارای فسفر، آنتی اسکالانت پلیمری

اثر آستانه

(Threshold Effect)

اختلال در فرایند رسوب گذاری و محلول نگه داشتن نمک های فوق اشباع از طریق افزودن مقادیر مناسبی از ماده ضد رسوب

 

آنتی اسکالانت دارای فسفر، آنتی اسکالانت پلیمری

 

محاسن استفاده از آنتی اسکالانت ها

برای جلوگیری از ایجاد رسوب در ممبران های RO از آنتی اسکالانت استفاده می شود، از محاسن استفاده از مواد بازدارنده رسوب می توان به موارد زیر اشاره کرد:
• افزایش طول عمر ممبران های اسمز معکوس
• موثر در مقابل رسوبات سیلیس، آهن، منگنز، کربنات ها، سولفات ها و ...
• کاهش هزینه های عملیاتی در مقایسه با استفاده از نرم کننده های آب (سختی گیرها)

معایب آنتی اسکالانت ها

از معایب استفاده از آنتی اسکالانت ها می توان به موارد زیر اشاره کرد:
• نرخ تزریق و انحلال دقیق ضروری است.
• نیاز به ذخیره و حمل و نقل مواد شیمیایی دارد.

دوز مورد نیاز آنتی اسکالانت

میزان ماده ی ضد رسوب مورد نیاز برای جلوگیری از تشکیل رسوب در ممبران های اسمز معکوس از طریق غلظت ترکیبات مختلف موجود در محلول تغلیظ شده یا دفع شده (Concentrate or Reject Solution) تعیین می شود. از سویی تعیین مقدار ماده بازدارنده رسوب مورد نیاز در هر پروژه متفاوت است و به جریان آب ورودی، آنالیز آب خام ورودی و طراحی کامپیوتری انجام شده برای ممبران اسمز معکوس مورد استفاده بستگی دارد. آنالیز آب ورودی از اهمیت زیادی برخودار است؛ لازم به ذکر است که دوز آنتی اسکالانت موردنیاز را نمی توان تنها با ذرات معلق محلول (TDS) تعیین کرد زیرا ممکن است که TDS تماما از سدیم و کلر تشکیل شده باشد که پتانسیل رسوب گذاری ندارند یا تماما از کلسیم و سولفات که پتانسیل بالای رسوب گذاری دارند، تشکیل شده باشد. به طور کلی غلظت 2 تا 5 میلی گرم بر لیتر از مواد آنتی اسکالانت برای جلوگیری از ایجاد رسوب مورد نیاز است. به طور خلاصه برای تعیین دوز آنتی اسکالانت موردنیاز باید به موارد زیر توجه کنیم:
• آنالیز آب
• نرخ جریان
• میزان بازیابی
• منبع آب
• pH
• دما
• نوع ممبران اسمزمعکوس مورد استفاده

برای محاسبه دستی دوز آنتی اسکالانت مورد نیاز از فرمول زیر استفاده می شود.

 

با توجه به اهمیت تعیین دوز آنتی اسکالانت مورد نیاز کمپانی های مختلفی در دنیا نرم افزار هایی را طراحی کرده اند که بتوان با کمک آنها و با وارد کردن جزئیات پروژه و داده های عملکردی و آنالیز آب ورودی به راحتی مناسب ترین آنتی اسکالانت و میزان تزریق آن را تعیین کرد. یکی از قوی ترین نرم افزارها، نرم افزار Membrane Master ساخت شرکت Genesys است. از نرم افزارهای دیگر می توان به Avista Advisor ،PWT ProDose ، Proton، CoRoLa-T و ... اشاره کرد. 

محل تزریق آنتی اسکالانت ها 

با توجه به این که آنتی اسکالانت ها، مواد ضد رسوب هستند و از تشکیل رسوب در سیستم های تصفیه آب و ممبران های اسمز معکوس جلوگیری می کنند، نیاز است که قبل از ورود آب به ممبران اسمز معکوس، آنتی اسکالانت را به آب تغذیه تزریق کنند. تزریق مواد بازدارنده رسوب به آب تغذیه، واکنش بین کلسیم، منیزیم و بی کربنات ها را به تاخیر می اندازد؛ درنتیجه در هنگام تصفیه آب توسط ممبران اسمز معکوس، رسوب ایجاد نمی شود.

پارامترهای موثر در عملکرد آنتی اسکالانت ها

پارامترهایی نظیر دوز آنتی اسکالانت، pH، دما و حضور همزمان مواد مختلف بر عملکرد آنتی اسکالانت ها اثر دارد که در ادامه توضیحاتی در رابطه با هر کدام ارائه شده است.

دوز آنتی اسکالانت
دوز مصرفی آنتی اسکالانت تاثیر به سزایی بر نتیجه فرایند رسوب زدایی دارد. از سویی مقادیر کم آنتی اسکالانت ممکن است برای واکنش با مواد رسوب کننده کافی نباشد و باعث کاهش راندمان رسوب زدایی شود. از سوی دیگر، استفاده از دوزهای زیاد مواد بازدارنده رسوب، ممکن است اثرات مخربی داشته باشد و علاوه بر خاصیت رسوب زدایی مواد آنتی اسکیل، با بهبود سایر عوامل مثل لخته شدن یا واکنش بین مولکولی مواد ضد رسوب، باعث ایجاد رسوب گردد. بنابراین باید با توجه به عملکرد دفع رسوب مورد نیاز و مسائل اقتصادی دوز بهینه ماده ی بازدارنده رسوب سیستم های تصفیه آب انتخاب و مورد استفاده قرار گیرد.

pH محلول
pH محلول نیز یکی از پارامترهای مهم است که بر فرایند دفع رسوب اثر می گذارد زیرا pH محلول می تواند بر حلالیت بسیاری از مواد معدنی رسوب کننده و بار بسیاری از آنتی اسکالانت های یونی در آب اثر بگذارد. آنتی اسکالانت های دارای گروه های عاملی یونی زمانی که pH به تدریج افزایش می یابد، از حالت پروتونه به حالت پروتون زدایی شده تبدیل می شوند؛ بنابراین تعاملات بین مواد آنتی اسکالانت و مواد رسوب گذار تغییر می کند که این بر فرایند دفع رسوب اثرگذار است.

دما
با تغییر فصل، دما به صورت آشکاری تغییر میکند که این خود بر میزان رسوب تشکیل شده، حلالیت مواد معدنی، میزان انتقال جرم در سیستم های اسمز معکوس، رسوب بیولوژیکی، تعاملات بین آنتی اسکالانت ها و رسوبات و در نهایت بر عملکرد مواد بازدارنده رسوب اثر می گذارد.

حضور همزمان مواد مختلف
در عمل آلاینده های متنوعی در آب تصفیه شده وجود دارد. حضور آلاینده های دیگر مانند یون های غیر آلی ممکن است بر تمایل به رسوب گذاری نمک های با حلالیت کم اثر بگذارد. تحقیقات نشان داده است که حضور همزمان یون های غیرآلی ممکن است، اثر خیلی کمی بر فرایند دفع رسوب توسط آنتی اسکالانت ها داشته باشد، اما بر فرایند رسوب گذاری اثر قابل توجهی دارند. البته لازم به ذکر است که اثر همزمان ترکیبات گوناگون بر رسوب گذاری از هیچ گونه قانون یکسانی پیروی نمی کند و  به ویژگی های مواد بستگی دارد.

آیا آنتی اسکالانت ها می توانند خود باعث ایجاد رسوب شوند؟؟؟

از آنتی اسکالانت ها همواره برای از بین بردن رسوبات استفاده می شود، اما نکته مهم این است که در شرایطی خاص خود آنتی اسکالانت ها نیز می توانند باعث ایجاد رسوب شوند که در ادامه توضیح داده شده اند:

1. رشد قارچ در مواد آنتی اسکالانت:
بعضی از آنتی اسکالانت ها دارای ناخالصی هستند که در نتیجه مواد مغذی و کربن مورد نیاز برای رشد زیستی را فراهم می کنند. یافتن قارچ در مواد آنتی اسکالانت بر پایه پلیمری امری غیر معمول نیست. تولید کنندگان معتبر برای جلوگیری از رخ دادن چنین مسائلی محصولاتی با خلوص بالاتر تولید می کنند و از مواد ضد قارچ مورد تایید NSF استفاده می کنند.

2. نزدیک بودن دوزینگ پمپ به محل تزریق اسید:
با توجه به این که عمدتا از سولفوریک اسید غلیظ برای تنظیم pH استفاده می شود؛ در صورتی که این اسید به خوبی مخلوط و میکس نشود، به دلیل چگالی خیلی بالا نسبت به آب، به صورت موقت یک فاز جدا را تشکیل می دهد. بنابراین در صورتی که آنتی اسکالانت بلافاصله پس از تزریق اسید به آب تزریق شود، می تواند توسط اسید قوی هیدرولیز شود. تعدادی از آنتی اسکالانت های پلیمری به شدت به این نوع تخریب حساس هستند.

3. ناسازگاری با کیفیت آب: 
تعدادی از آنتی اسکالانت ها، مقاومت خوبی نسبت به آهن و آلومینیوم ندارند. تعدادی از آنتی اسکالانت ها با این فلزات، یک کمپلکس نامحلول تشکیل می دهند و بر سطح ممبران اسمز معکوس رسوب می کنند.

4. سختی بالای آب یا دوز بالای آنتی اسکالانت:
آنتی اسکالانت ها در مقایسه با آنیون های تشکیل دهنده رسوب مرسوم مانند کربنات یا فسفات بار منفی بیشتری دارند؛ بنابراین تمایل بیشتری به کلسیم و منیزیم دارند. در هنگام مکانیسم آستانه حلالیت، این تمایل به کلسیم/منیزیم باعث جذب برای تشکیل گروه ها می شوند و در تشکیل هسته پایدار اختلال ایجاد می کنند. اگرچه زمانی که غلظت سختی خیلی بالا است، خود آنتی اسکالانت می توانند یک نمک کلسیم-آنتی اسکالانت تشکیل دهند و این بسیار مشکل ساز است زیرا زمانی که ماده ضد رسوب خودش رسوب می کند، سایر رسوبات نیز حتما رسوب می کنند. سختی بر تمامی آنتی اسکالانت ها اعم از پلیمری یا فسفردار اثر می گذارد. 

5. مشکلات کنترل کیفیت:
در بعضی موارد، مشکلات تولید می تواند باعث شود که برخی از آنتی اسکالانت های بر پایه پلیمر یک ژل نامحلول بر سطح ممبران تشکیل دهند. بنابراین ضروری است که مواد ضد رسوب را تنها از فروشندگان و کمپانی های معتبر تهیه کرد.

اثرات زیست محیطی آنتی اسکالانت ها و توانایی تخلیه آنها به محیط زیست

آنتی اسکالانت ها عمدتا در دو دسته یافت می شوند. برخی از آنها بر پایه فسفات هستند و برخی دیگر بر پایه پلیمرها هستند. در خیلی از اوقات نیز برای دستیابی به اثر سینرژیک مواد، آنتی اسکالانت ها را با یک دیگر ترکیب می کنند. آنتی اسکالانت ها موادی سمی نیستند زیرا اگر سمی بودند، توسط NSF برای کاربردهای آب آشامیدنی تایید نمی شدند. هر دو مواد بازدارنده رسوب بر پایه فسفات یا پلیمر قابلیت تجزیه بیولوژیکی دارند و در طول زمان تجزیه می شوند. تابش نور فرابنفش با شکستن پیوندهای شیمیایی نرخ تخریب را افزایش می دهد و برخی باکتری ها نیز آنزیم هایی تولید می کنند که منجر به شکستن و جداسازی پیوندها می شوند.
اخیرا تعدادی از آنتی اسکالانت ها تحت عنوان " آنتی اسکالانت سبز" در بازار معرفی شده اند که ادعا می کنند که نرخ تجزیه بیولوژیکی سریع تری دارند. البته لازم به ذکر است که در سیستم های غشا اسمز معکوس، هر چیزی که سریع تر تجزیه بیولوژیکی شود، به یک منبع کربن برای باکتری ها تبدیل می شود و منجر به رسوب یا فولینگ بیولوژیکی می شود. بنابراین از دیدگاه عملکردی باید از استفاده از چنین آنتی اسکالانت هایی اجتناب شود.

قیمت آنتی اسکالانت و جنبه های اقتصادی استفاده از آنتی اسکالانت ها 

استفاده از آنتی اسکالانت ها در مقایسه با سایر روش های موجود جهت از بین بردن رسوبات، ارزان تر و به صرفه تر است؛ زیرا آنتی اسکالانت ها نسبتا مواد ارزان قیمتی هستند و نیازی به هزینه های اضافی ندارند. برای تزریق آنتی اسکالانت ها نیز تجهیزات کمی شامل تانک تغذیه و پمپ مورد نیاز است. 
تزریق اسید یکی از راه های دیگری است که جهت از بین بردن رسوبات از آن استفاده می شود اما در مقایسه با استفاده از آنتی اسکالانت ها نیاز به هزینه تجهیزات بالاتری دارد. برای نمونه در جدول زیر مقایسه ی اقتصادی بین افزودن اسید و آنتی اسکالانت، برای یک سیستم اسمز معکوس با جریان تولیدی 17 مترمکعب بر ساعت و نرخ بازیابی 75 درصد در مقادیر مختلف سختی ارائه شده است و همانگونه که مشاهده می شود، استفاده از آنتی اسکالانت خصوصا در مقادیر بالای سختی بسیار به صرفه تر می باشد. 


 

در بخش آنتی‌اسکالانت‌های مخصوص سیستم RO فرمولاسیون‌های مختلف آنتی اسکالانت برای کنترل رسوب کربنات کلسیم، سولفات‌ها و سایر املاح محلول ارائه شده است. با توجه به آنالیز آب ورودی، ظرفیت سیستم و نوع ممبران، می‌توانید مناسب‌ترین آنتی‌اسکالانت را انتخاب کرده و با بررسی مشخصات فنی و قیمت روز، خریدی مطمئن و تخصصی داشته باشید.
نکته ی مهم و قابل توجه دیگر در استفاده از آنتی اسکالانت ها این است که همانطور که میدانید استفاده از مواد ضد رسوب باعث افزایش طول عمر و کارایی ممبران های اسمز معکوس می شود و با توجه به این که قیمت ممبران های اسمز معکوس در مقایسه با قیمت آنتی اسکالانت بسیار بالاتر است، از نظر اقتصادی به صرفه تر است که از مواد ضد رسوب استفاده شود.
 

امتیاز دهید :
ثبت نظر
کد امنیتی